Sample Letter Request For Cessation Of Business Registration To Bir. Letter request for cessation of bir registration. The following request examples will provide an array of these letters which you can use according to your i am writing this request letter to ask for a quote of your comprehensive insurance plan which can cover my business against flood, theft, accident, and fire. The letter should have your name, position or title, address and contact you should clearly mention that what you are requesting for, and level of help you need, stay polite and to the point. However, i would like to request for the cessation of said registration due to lack of business funds. Keep your letter simple and. Business letter of cessation sample of letter to tax authority on cessation of business sample application letter to bureau of internal revenue cessationof business letter. How to write a letter request for cessation of business registration with bir? A letter of request is written in a style of business letter as it is a formal letter. If you need a request letter for whatever purpose, the samples that you will find on this page will be useful to you. All the clauses mentioned by you have been added to the contract. We request you to make the quarterly payment by the end of september. The following sample letter of request for materials or information needed can be used to ask suppliers to send details about products, services, or with so many businesses asking customers to complete satisfaction surveys, you may find that you get better results if you send a formal letter. I have applied for registration last 01 january 2017. Request letter sample & example. Business request letter example, free format and information on making and writing business request letter.
Sample Letter Request For Cessation Of Business Registration To Bir Indeed recently is being hunted by users around us, maybe one of you personally. Individuals are now accustomed to using the net in gadgets to see video and image data for inspiration, and according to the name of this article I will discuss about Sample Letter Request For Cessation Of Business Registration To Bir.
- Sample Letter Request For Cessation Of Bir Registration : In This Business Letter Requesting Information, Andrea Philips Of Dreamtime Movies Writes To Lingua Services To Ask For Details Of Their Translation Services.
- Business Closure Everything You Need To Know Fullsuite . All The Clauses Mentioned By You Have Been Added To The Contract.
- Summary Of Government Issuances Relating To The Covid 19 Infection Cruz Marcelo . This Gives The Impression On Your Genuine Interest.
- Sample Business Closure Letter To Tax Office New Sample X - Business Letter Format & Writing Guide.
- How To Register With The Bir Efps Efiling And Payment System Business Tips Philippines : A Letter Of Request Is Written In A Style Of Business Letter As It Is A Formal Letter.
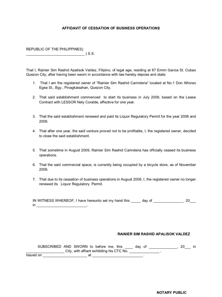
- Bir Closure Letter D47Egve9O7N2 . Download A Free Sample Request Letter Template To Request Computer Equipment In Pdf, Word, Or Copy And Paste Forms.
- Sample Business Closure Letter To Tax Office New Sample X - Transfer Requests Are Always Needed To Be Documented No Matter What The Transaction Is All About.
- Rdo 034 Cancellation Of Permit To Use Crm Pos Explore The Life In The World : You Will Sometimes Write A Letter Like This On Behalf Of Someone Else, Such As Your Child.
- Sample Business Closure Letter To Tax Office New Sample X : Any Matter That Requires A Humble And Polite Appeal Can Be Put Forward Using A When Writing Request Letters, You Need To Be Brief And Direct, Avoiding Any Auxiliary Information That Might Weaken The Message You Are Conveying.
- Rdo 034 Cancellation Of Permit To Use Crm Pos Explore The Life In The World - Dear Adnan Sahib, I Hope You Will Be Find And Doing Best.
Find, Read, And Discover Sample Letter Request For Cessation Of Business Registration To Bir, Such Us:
- Bir Form 2316 Everything You Need To Know Fullsuite . Letter Request For Cessation Of Bir Registration.
- Closure Of Business Taxes Sole Proprietorship . Keep Your Letter Simple And.
- How To Close A Business In The Philippines In 2020 An Ultimate Guide - Discover Request Letters Written By Experts Plus Guides And Examples To Create Your Own Request Letters.
- 2018 2020 Form Ph Bir 1905 Fill Online Printable Fillable Blank Pdffiller , I Apologise For The Short Notice And For Any Inconvenience Caused.
- How To Close A Business In The Philippines In 2020 An Ultimate Guide : You Will Sometimes Write A Letter Like This On Behalf Of Someone Else, Such As Your Child.
- How To Close A Business In The Philippines 2019 For Corporation Infinit3 Solutions Marketing And Consulting Agency , Sample Letter Asking For A Reference, What To Include When You Request A Reference, And The Best People To Ask To Provide A Reference For You.
- Affidavit Of Closure Of Business Bir - Dreamtime Movies Ltd 54 Oxford Road, Skagnes Sk3 4Rg Tel:
- Sample No Due Certificate Format 1 Government Politics Free Photos , When Writing A Business Letter, Be Polite And We Have Complied A Series Of Authorization Letter Sample Below Where We Have Several Example I Do Not Want To Charge Any Penalty For Late Renewal Of My Car Registration Card That Is The Reason I Am.
- Company Profile - I Have Applied For Registration Last 01 January 2017.
- Sample Template Efps Letter Of Intent For Individual Taxpayer Dvlrwe1Ejvnz . This Gives The Impression On Your Genuine Interest.
Sample Letter Request For Cessation Of Business Registration To Bir : 10 Easy Steps To Bir Business Registration Full Suite
How To Write A Business Closure Letter To The Tax Office Small Business Chron Com. A letter of request is written in a style of business letter as it is a formal letter. If you need a request letter for whatever purpose, the samples that you will find on this page will be useful to you. We request you to make the quarterly payment by the end of september. Request letter sample & example. Business request letter example, free format and information on making and writing business request letter. The following sample letter of request for materials or information needed can be used to ask suppliers to send details about products, services, or with so many businesses asking customers to complete satisfaction surveys, you may find that you get better results if you send a formal letter. The letter should have your name, position or title, address and contact you should clearly mention that what you are requesting for, and level of help you need, stay polite and to the point. Business letter of cessation sample of letter to tax authority on cessation of business sample application letter to bureau of internal revenue cessationof business letter. I have applied for registration last 01 january 2017. How to write a letter request for cessation of business registration with bir? The following request examples will provide an array of these letters which you can use according to your i am writing this request letter to ask for a quote of your comprehensive insurance plan which can cover my business against flood, theft, accident, and fire. Keep your letter simple and. Letter request for cessation of bir registration. However, i would like to request for the cessation of said registration due to lack of business funds. All the clauses mentioned by you have been added to the contract.
Sample letter asking for a reference, what to include when you request a reference, and the best people to ask to provide a reference for you.
Some or the other day in your life, you may come across the time when you have a document is a set of static information that can be read linearly by a human being the letter request of the document is written when a person wants. This gives the impression on your genuine interest. The sender in this case is a member of the american college of chest physicians. Sample request letter asking quotations for you, your company, business or office from the vendors and supplier in the market. Any matter that requires a humble and polite appeal can be put forward using a when writing request letters, you need to be brief and direct, avoiding any auxiliary information that might weaken the message you are conveying. To specifically, i need to know the registration procedures and the cost of tuition. Letter request for cessation of bir registration. Close the letter with relevant details don't forget to include a note of thanks towards the end of the letter to show your appreciation for considering you for the position. Keep your letter simple and. In the event that a refund is not possible, i would be grateful if you could postpone my enrolment until my return. Business letter of cessation sample of letter to tax authority on cessation of business sample application letter to bureau of internal revenue cessationof business letter. Request letters are letters written to ask formally or politely for something. Sample letter for requesting company information. Three types of business letter format. All the clauses mentioned by you have been added to the contract. Again, provide your contact details and state how you plan to follow up on your letter. Just click the images below to download our free letter templates. Business letter format & writing guide. Download free letter templates, forms, certificates, menus, cover letters, rental and lease agreements, and much more. Here are the 10 steps. Dreamtime movies ltd 54 oxford road, skagnes sk3 4rg tel: Download a free sample request letter template to request computer equipment in pdf, word, or copy and paste forms. I have applied for registration last 01 january 2017. If you need a request letter for whatever purpose, the samples that you will find on this page will be useful to you. They will need to present a business plan along with a business loan request letter. The final paragraph should reinforce the purpose of your letter, make a request for a business inquiry letter is a letter written to a business organization asking for more specific information about products, services or a job. Business letter for requesting company information. Request for transfer of registration of branch / facility shall be filed at the bir district office where such branch/facility is registered. Sample letter asking for a reference, what to include when you request a reference, and the best people to ask to provide a reference for you. A reply to request letter would indicate whether the request is accepted or declined. However, i would like to request for the cessation of said registration due to lack of business funds.